Phân tích hiệu quả giảm dao động dây văng có sử dụng thiết bị giảm chấn thủy lực
Tác giả:
Nguyễn Tuấn Ngọc – Học viện Khoa học và Công nghệ, Viện Hàn lâm Khoa học và Công nghệ Việt Nam.
Phùng Bá Thắng – Trường Đại học Công nghệ Giao thông vận tải
Trần Trung Hiếu – Trường Đại học Kiến Trúc Hà Nội
Nguyễn Trọng Đồng – Công ty TNHH Freyssinet Việt Nam
Tóm tắt: Dây văng là bộ phận chịu lực chủ yếu trong cầu dây văng. Khi chiều dài dây cáp văng tăng lên, nó trở nên nhạy cảm với các vấn đề dao động, gây ra hiện tượng mỏi vật liệu làm giảm độ bền và sức chịu tải của công trình. Để giảm dao động cho dây văng, các loại thiết bị giảm chấn được lắp đặt nhằm bổ sung thêm, tăng độ giảm chấn, ví dụ như thiết bị giảm chấn thủy lực. Việc xác định thông số của thiết bị giảm chấn thủy lực là rất cần thiết nhằm đảm bảo hiệu quả giảm dao động. Bài báo trình bày việc thiết lập mô hình phân tích hiệu quả giảm dao động dây văng có sử dụng thiết bị giảm chấn thủy lực bằng phương pháp phần tử hữu hạn. Từ đó xác định thông số cản phù hợp cho dây văng. Kết quả mô hình phân tích được so sánh với giá trị đo thí nghiệm hiện trường tại cầu dây văng Mỹ Thuận 2.
Từ khóa: dây văng, dao động, thiết bị giảm chấn, mô hình phân tích, phần tử hữu hạn.
1. Giới thiệu
Dây cáp văng được cấu tạo từ những tao cáp cường độ cao, có vai trò là bộ phận chịu lực quan trọng của cầu dây văng. Đối với cầu dây văng có nhịp càng lớn thì chiều dài dây càng tăng, độ mảnh càng lớn và nhạy cảm với các lực tác động biến thiên như hoạt tải, tải trọng gió, động đất… Một số trường hợp dây cáp văng đã xảy ra dao động mạnh trên thế giới và gây ra các hư hỏng như tại cầu Tempozan (Nhật Bản), Fred Hartman (Hoa Kỳ), Dongting (Trung Quốc), Dubrovnik (Croatia) [1], [3].
Một trong những giải pháp để giải quyết vấn đề dây cáp văng dao động mạnh là lắp đặt thêm thiết bị có khả năng giảm dao động. Bên cạnh đó có thể cải tiến bề mặt của ống bọc cáp HPDE nhằm tránh dao động mưa gió kết hợp và dao động tiến triển. Biện pháp cải tiến bề mặt được sử dụng phổ biến ở châu Âu và châu Mỹ là các gân xoắn đơn hoặc đôi. Ở Trung Quốc và Nhật Bản, các rãnh dọc hoặc phần nhô lên và lõm được sử dụng nhiều hơn (Hình 1) [2].

Hình 1. Cải tiến bề mặt giảm dao động dây văng

Hình 2. Lắp đặt bộ giảm chấn cho dây văng
Do khả năng giảm chấn bản thân trong cáp rất thấp (chỉ khoảng 0,01-0,2%), các thiết bị giảm chấn bổ sung thường được dùng để hỗ trợ giảm thiểu dao động. Các thiết bị giảm chấn bao gồm giảm chấn thủy lực (Hydraulic Dampers), giảm chấn ma sát (Friction Dampers), giảm chấn cao su (HDR), giảm chất khối lượng (Tuned Mass Dampers-TMDs). Trong các thiết bị giảm chấn, giảm chấn thủy lực có khả năng tiêu tán năng lượng hiệu quả, độ bền cao, dễ lắp đặt và bảo trì nên được dùng nhiều trong các công trình cầu, ví dụ như cầu Mỹ Thuận 2 (Hình 2).
Việc nghiên cứu lý thuyết bài toán dao động của dây văng có sử dụng thiết bị giảm chấn được trình bày trong các tài liệu [4-7]. Trong đó, Le Xuan Luu và cộng sự xây dựng đường cong giảm chấn phổ quát [4]. Nguyễn Duy Thảo xét đến ảnh hưởng của độ cứng chống uốn tới dao động dây văng [5].
Ngoài ra, việc sử dụng phương pháp phần tử hữu hạn để phân tích dao động dây văng được trình bày tại [8-10]. Với mục đích kiểm tra hiệu quả giảm dao động dây văng của thiết bị giảm chấn, các thí nghiệm hiện trường được tiến hành và trình bày tại [11,12]. Bài báo trình bày mô hình bằng phương pháp phần tử hữu hạn và công thức giải tích để phân tích dao động dây văng có sử dụng thiết bị giảm chấn thủy lực bằng phương pháp phần tử hữu hạn, so sánh với kết quả lý thuyết thông qua việc giải phương trình đạo hàm riêng và kết quả đo thực tế tại một công trình cầu ở Việt Nam.
2. Cơ sở lý thuyết

Hình 3. Sơ đồ tính toán dây văng có sử dụng thiết bị giảm chấn thủy lực
Bài toán dây văng gắn thiết bị giảm chấn thủy lực dao động tự do tắt dần đã được trình bày chi tiết trong nhiều tài liệu. Vì vậy, phần này chỉ trình bày tóm tắt lại cơ sở lý thuyết đã được nêu tại [7].
Hình 3 mô tả sơ đồ tính toán bao gồm dây cáp văng có liên kết cố định ở hai đầu, chịu lực căng H (N), chiều dài L (m), thiết bị giảm chấn được gắn cố định tại vị trí cách đầu dây khoảng l0 (m). Lực cản của thiết bị giảm chấn thủy lực trong mô hình được mô tả thông qua hệ số cản c (Ns/m). Dây cáp văng có khối lượng trên đơn vị chiều dài là m (kg/m).

Các điều kiện cân bằng lực tại điểm lắp đặt giảm chấn:

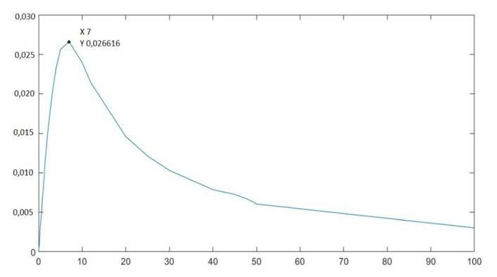
Ví dụ tính toán: Xét trường hợp chiều dài dây cáp L=120m, thiết bị giảm chấn thủy lực được lắp đặt tại vị trí cách đầu neo l0=6m, tỉ số r=l0/L=0,05. Sử dụng Matlab giải phương trình (10) ta thu được đường cong tỷ số giảm chấn ξ theo 𝜃 được trình bày tại Hình 4. Kết quả thu được giá trị ξmax=0,0266 tại θ=7. Đường cong này cho thấy nếu giá trị θ (hoặc hệ số cản c tương ứng) quá nhỏ hoặc quá lớn thì hiệu quả giảm chấn đều thấp. Vì vậy, việc xác định giá trị hệ số cản c phù hợp để đạt được hiệu quả giảm dao động.

Hình 4. Biểu đồ đường cong tỷ số giảm chấn ξ theo θ
3. Mô hình phần tử hữu hạn phân tích dao động dây văng có sử dụng thiết bị giảm chấn thủy lực
Việc sử dụng mô hình phần tử hữu hạn để phân tích dao động dây văng gắn thiết bị giảm chấn được mô tả chi tiết trong tài liệu tham khảo FHWA-HRT-14-049 phát hành tháng 8 năm 2014 của Hoa Kỳ [8]. Trong đó phần mềm phân tích phần tử hữu hạn SAP2000 được sử dụng với khả năng phân tích lịch sử thời gian dao động của dây văng có hoặc không có gắn thiết bị giảm chấn chịu tải trọng gió. Đây cũng là phần mềm được sử dụng rộng rãi trong việc tính toán kết cấu nói chung. Phần tử dầm (beam) được sử dụng để mô tả dây văng, điểm quan trọng là sử dụng kỹ thuật phân tích P-delta để kể tới hiệu ứng của lực căng trong dây. Thông số lực căng rất quan trọng vì nó ảnh hưởng trực tiếp đến tần số dao động dây văng. Ngoài ra, nhiều chương trình phần mềm phân tích phần tử hữu hạn khác cũng có những tính năng tương tự có thể được sử dụng để giải bài toán dao động dây cáp như Ansys [13] sẽ được sử dụng trong nghiên cứu này. Việc xây dựng mô hình dao động dây văng có sử dụng thiết bị giảm chấn bằng phần tử hữu hạn sử dụng phần mềm Ansys như sau.
Dây văng được chia thành 500 phần tử dạng dầm Beam188, có tiết diện quy đổi bằng tiết diện dây văng. Độ cứng chống uốn của phần tử dầm được chương trình tự động xét đến dựa theo kích thước tiết diện là bề rộng và chiều cao. Tuy nhiên, do đặc điểm cấu tạo bó dây văng hình thành từ các tao cáp đơn lẻ được đặt chung trong ống bọc cáp nên giá trị độ cứng chống uốn này được coi là nhỏ và khó xác định trong thực tế. Lực căng ban đầu trong cáp dây văng được đưa vào trong mô hình thông qua ứng biến của phần tử dầm Beam188. Thiết bị giảm chấn thủy lực được mô hình hóa bằng phần tử Combin14 trong phần mềm Ansys. Phần tử này bao gồm một lò xo có độ cứng k mắc song song với thành phần cản c. Thực hiện phân tích theo thời gian (Transient analysis), tại thời điểm đầu, đặt lực phân bố đều trên dây văng để tạo độ lệch ban đầu của dây văng so với vị trí cân bằng. Sau đó, loại bỏ lực tác động, dây văng sẽ dao động theo thời gian. Do tác động của phần tử Combin14, biên độ dao động sẽ giảm dần theo thời gian (dao động tắt dần).
Để kiểm nghiệm hiệu quả của việc sử dụng phần mềm Ansys trong bài toán phân tích dao động dây văng có sử dụng thiết bị giảm chấn, nghiên cứu này xây dựng bài toán với các thông số đã nêu trong mục 2 và so sánh với lời giải phương trình vi phân (10). Với θ=7, các thông số c, H, m được lựa chọn phù hợp trong đó c = 165354 Ns/m, m = 93kg/m, H = 6000kN. Kết quả thu được biểu đồ dao động của điểm giữa dây theo thời gian. Trong đó biên độ dương đầu tiên a1= 0,0279m; biên độ dương thứ mười a10= 0,0053m, số chu kỳ n=9. Độ giảm lô-ga δ= 19 ln (0.0279 0.0053) ≈0,184. Sử dụng mối quan hệ giữa tỉ số giảm chấn và độ giảm lô-ga, ξ2≈δ 2π ≈0,0292.
Như vậy, sai lệch giữa ξ2 tính theo phương pháp mô phỏng số và ξmax theo phương pháp giải phương trình đạo hàm riêng là khoảng 9%. Đồ thị dao động tắt dần của dây văng theo thời gian được trình bày trên Hình 5.

Hình 5. Biểu đồ dao động của dây cáp văng có sử dụng bộ giảm chấn thủy lực
4. Áp dụng mô hình phân tích giảm dao động cáp dây văng cầu Mỹ Thuận 2
Để đánh giá hiệu quả giảm dao động của thiết bị giảm chấn thủy lực, công tác thí nghiệm hiện trường được tiến hành và được trình bày trong các tài liệu tham khảo [14-16]. Mục này trình bày việc áp dụng mô hình phân tích giảm dao động cáp dây văng với số liệu của cầu Mỹ Thuận 2. Xét dây văng số 16 cầu Mỹ Thuận 2 có các thông số: số lượng tao cáp 69, diện tích tiết diện A = 69*150 = 10350 (mm2). Do cấu tạo dây văng từ 69 tao cáp riêng lẻ nên độ cứng chống uốn chung của dây văng khó xác định chính xác nên được coi là nhỏ có giá trị I = 8,9 e-10 (m4). m=95,41(kg/m). Chiều dài dây cáp L=188,6(m), vị trí lắp giảm chấn l0=5,24m. Lực căng trong dây H=6162 (kN) (theo hồ sơ thiết kế). Độ cứng thiết bị giảm chấn bằng k = 450 kN/m. Xét các giá trị hệ số cản của thiết bị giảm chấn c= 10; 80;110; 250; 500 kN.s/m.
Dây văng được mô hình nằm ngang tương tự hình 2, không xét đến góc nghiêng của dây và độ võng ban đầu. Thực hiện mô phỏng dao động tắt dần, kết quả thu được là biểu đồ dao động theo thời gian (s). Kết quả mô phỏng Hình 6 và Bảng 1 cho thấy độ giảm loga δmo phong= 0,0515 (5,15%) tương ứng với hệ số cản c = 110 kN.s/m. Kết quả đo độ giảm lô-ga tại cầu δthi nghiem=5,29% [14,15]. Sai số giữa kết quả mô phỏng và kết quả đo hiện trường là -2.7%. Hình 7 minh họa công tác thí nghiệm hiện trường tại cầu Mỹ Thuận 2 [14].

Hình 6. Kết quả mô phỏng dao động tắt dần theo thời gian dây cáp văng cầu Mỹ Thuận 2.
Bảng 1. Tổng hợp kết quả mô phỏng dao động tắt dần
| Hệ số c (kN.s/m) | 10 | 80 | 110 | 250 | 500 |
| Độ giảm lô-ga (%) | 1,4 | 4,5 | 5,15 | 5,22 | 3,8 |
Hình 7. Hình ảnh thí nghiệm hiện trường đo độ giảm chấn dây văng [14]
5. Kết luận
Dây cáp văng là bộ phận kết cấu chịu lực quan trọng của cầu dây văng. Để giảm dao động của dây, bộ giảm chấn được lắp đặt nhằm cung cấp cho dây độ giảm chấn bổ sung từ 3% đến 4% hoặc cao hơn. Bài báo đã trình bày việc lập mô hình phân tích dao động tắt dần của dây văng có sử dụng thiết bị giảm chấn, so sánh với lời giải theo phương trình đạo hàm riêng dao động và kết quả thí nghiệm hiện trường. Một số kết quả thu được như sau:
+ Xây dựng được mô hình bằng phương pháp phần tử hữu hạn để phân tích dao động của dây văng có sử dụng thiết bị giảm chấn thủy lực. Kết quả mô hình phân tích tương đối phù hợp với lời giải giải tích. Đã khảo sát được ảnh hưởng của thông số độ cản c của thiết bị giảm chấn đối với công tác giảm dao động của dây cáp văng. Nếu lựa chọn thông số c quá lớn hoặc quá bé có thể khiến việc giảm dao động kém hiệu quả.
+ So sánh với thí nghiệm hiện trường đo thực tế, kết quả mô hình dao động tắt dần của dây văng có sai số trong khoảng dưới 10%.
Một số hạn chế và nội dung nghiên cứu tiếp theo:
+ Xét đến ảnh hưởng của độ cứng chống uốn của dây văng trong bài toán phân tích dao động.
+ Ảnh hưởng của góc nghiêng dây văng, độ võng ban đầu do trọng lượng và lực căng trong dây văng.
+ Mới xét đến dạng dao động đầu tiên của dây văng do sử dụng lực phân bố đều. Trong thực tế khi đo dao động dây văng, lực tác động tập trung (dùng dây thừng kéo giật tạo xung) nên dao động đo được của dây là tổng hợp của nhiều dạng dao động.
Tài liệu tham khảo
[1]. H. Hà. (2023). Cơ sở lựa chọn thông số kỹ thuật chủ yếu cho hệ thống thiết bị giảm chấn cho các cáp dây văng trong các cầu dây văng ở Việt Nam. Tạp chí Cầu đường Việt Nam, 8, 18-22.
[2]. N.J. Gimsing. (1997). Cable Support Bridges, Concept and Design. John Wiley & Sons, Ltd.
[3]. Z. Savor, J. Radic & G. Hrelja. (2006). Cable vibrations at Dubrovnik bridge. Bridge Structures, 2(2), 97-106.
[4]. L.X. Le, H. Katsuchi, S. Kawai. (2024). Damping in stay cable with damper: Practical universal damping curve and full-scale measurement. Journal of Sound and Vibration, 569, 118090.
[5]. N.D. Thảo. (2013). Nâng cao khả năng ổn định dao động của dây cáp văng bằng thiết bị cản mô hình đàn-nhớt có xét đến độ cứng chống uốn của dây cáp văng. Tạp chí Khoa học và Công nghệ, Đại học Đà Nẵng, 10(71), 32-37.
[6]. Z. Wang, F. Yue, H. Wang, H. Gao, B. Fan. (2019). Refined Study on Free Vibration of a Cable with an Inertial Mass Damper. Applied Sciences, 9(11), 2271.
[7]. N.Đ. Anh, L.Đ. Việt. (2007). Giảm dao động bằng thiết bị tiêu tán năng lượng. Nhà xuất bản Khoa học tự nhiên và công nghệ.
[8]. S. Park, H.R. Bosch. (2014). FHWA-HRT-14-049, Mitigation of Wind-Induced Vibration of Stay Cables: Numerical Simulations and Evaluations. United States. Federal Highway Administration.
[9]. J.A. Main. (2002). Modeling the vibrations of a stay cable with attached damper. Doctor of Philosophy dissertation.
[10]. S.H. Cheng, D.T. Lau. (2002). Modeling of cable vibration effects of cable-stayed bridges. Earthquake Engineering and Engineering Vibration, 1, 74-85.
[11]. F. Di, L. Sun, L. Chen. (2020). Cable vibration control with internal and external dampers: Theoretical analysis and field test validation. Smart Structures and Systems, 26(5), 575-589.
[12]. L. Xiao-long, S. Li-min, C. Wei, X. Ye. (2014). Damping Analysis on Steel Strand Cables of a Cable-Stayed Bridge Based on Field tests. The 2014 World Congress on Advances in Civil, Environmental, and Materials Research (ACEM 14).
[13]. Ansys. (2009). Theory reference for the mechanical APDL and mechanical applications.
[14]. N.T. Nhung. (2024). Báo cáo tổng kết đề tài Nghiên cứu đánh giá hiệu quả giảm chấn cáp cầu dây văng, Mã số T2024-CT-011.
[15]. Công ty Freyssinet Việt Nam. (2024). Báo cáo thí nghiệm hiện trường đo giảm chấn dây văng cầu Mỹ Thuận 2.
[16]. N.H. Quyết, N.T. Đồng, N.T.C. Nhung. (2024). Thực nghiệm đánh giá hiệu quả của giảm chấn hướng tâm bên trong đối với cáp văng số T16R-MC16 của cầu Mỹ Thuận 2. Transport and Communications Science Journal, 75(5), 1858-1869.
Bài đăng trên Tạp Chí điện tử Khoa học Và Công nghệ Giao thông, 5(1), 58–65.

